Фізика. Повторне видання. 7 клас. Бар’яхтар
Цей підручник можна завантажити у PDF форматі на сайті тут.
§ 8. Рівномірний рух. Швидкість руху
Під час репортажів з автомобільних перегонів, у повідомленнях про погоду можна, наприклад, почути: «Швидкість руху автомобіля-переможця перед фінішем сягнула 250 кілометрів за годину»; «Швидкість вітру сягатиме 25 метрів за секунду» тощо. Що це означає? Як порівняти ці швидкості?
1. Знайомимося з рівномірним рухом
Слово «швидкість» ви знаєте змалку. Тому, коли чуєте, що швидкість руху автомобіля становить 20 метрів за секунду, то розумієте: автомобіль, рухаючись із такою швидкістю, кожну секунду долає відстань 20 м.
Поміркуйте, яку відстань подолає цей автомобіль за 10 секунд; за пів секунди; за 0,1 секунди.
Скоріш за все, більшість із вас відповіли так: за 10 с автомобіль подолає 200 м, за пів секунди — 10 м, за 0,1 с — 2 м. І ці відповіді є правильними, якщо вважати, що за будь-які (малі або великі) рівні інтервали часу автомобіль долає однаковий шлях. Тобто якщо рух автомобіля є рівномірним.
Рівномірний рух — це механічний рух, у ході якого за будь-які рівні інтервали часу тіло долає однаковий шлях.
Зверніть увагу на слова «будь-які рівні інтервали часу». Інколи, розглядаючи навіть нерівномірний рух тіла, теж можна дібрати такі рівні інтервали часу, за які тіло долає однакову відстань. Наприклад, за кожні 30 с плавець пропливає доріжку в басейні (25 м), проте не можна стверджувати, що він рухається рівномірно, бо під час розвороту він сповільнює рух.
2. Вивчаємо рівномірний прямолінійний рух
Якщо автомобіль рівномірно рухається прямолінійною ділянкою дороги, то за рівні інтервали часу він здійснює однакові переміщення (рис. 8.1), тобто долає однаковий шлях і не змінює напрямку свого руху. Такий рух називають рівномірним прямолінійним.
Рівномірний прямолінійний рух — це механічний рух, у ході якого за будь-які рівні інтервали часу тіло здійснює однакові переміщення.
Рівномірний прямолінійний рух — найпростіший вид руху, який у реальному житті зустрічається дуже рідко. Прикладами такого руху можуть бути рух автомобіля на прямолінійній ділянці дороги (без розгону та гальмування), падіння металевої кульки в олії, політ парашутиста через деякий час після розкриття парашута.
3. Даємо означення швидкості рівномірного руху
Сподіваємося, вам неважко визначити швидкість рівномірного руху, наприклад, пішохода, який пройшов 30 м за 20 с. Із курсу математики вам добре відомо, що для цього слід шлях, який подолав пішохід (l = 30м), поділити на час його руху (t = 20c).

Рис. 8.1. Автомобіль, який рухається рівномірно прямолінійно, за будь-які рівні інтервали часу здійснює однакові переміщення
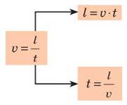
Швидкість рівномірного руху (v) — це фізична величина, що дорівнює відношенню шляху І, який подолало тіло, до інтервалу часу t, протягом якого цей шлях був подоланий:
![]()
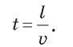
Зверніть увагу! У ході рівномірного прямолінійного руху модуль переміщення дорівнює шляху (s = l), тому значення швидкості руху можна визначити за будь-якою з формул:
![]()
У Міжнародній системі одиниць шлях вимірюють у метрах, час — у секундах, тому одиниця швидкості руху в CI — метр за секунду:

за 1 с долає шлях 1 м.
Приладом для прямого вимірювання швидкості руху слугує спідометр.
4. Характеризуємо швидкість руху
Швидкість руху — векторна величина: вона має не лише значення, а й напрямок. На рисунках напрямок швидкості руху тіла позначають стрілкою (див. рис. 8.1, 8.2). Якщо тіло рухається рівномірно прямолінійно, то значення і напрямок швидкості руху залишаються незмінними (див. рис. 8.1). Якщо тіло рухається рівномірно криволінійною траєкторією, значення швидкості руху залишається незмінним, а напрямок увесь час змінюється (див. рис. 8.2).


Рис. 8.2. У ході криволінійного руху напрямок швидкості руху весь час змінюється

Рис. 8.3. Напрямок і значення швидкості руху залежать від того, де перебуває спостерігач

Для розв’язування задач слід навчитися подавати швидкість руху, виражену в одних одиницях, в інших одиницях. Як це зробити? Наведемо приклад.
Швидкість руху автомобіля — 36 км/год. Щоб подати її в метрах за секунду, згадаємо, що 1 год = 3600 с, а 1 км = 1000 м. Тоді:

Спробуйте подати в метрах за секунду швидкості руху ракети та равлика.
Найскладніше подавати в інших одиницях швидкість руху, надану в метрах за секунду, але послідовність дій залишається тією самою.

Щоб швидкість руху, подану в метрах за секунду, подати в кілометрах за годину (і навпаки), можна скористатися схемою на рис. 8.4.

Рис. 8.4. Схема переведення швидкості руху, поданої в метрах за секунду, у швидкість, подану в кілометрах за годину, і навпаки
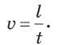
5. Визначаємо шлях і час руху тіла
З курсу математики ви знаєте: якщо відомі швидкість і час руху тіла, то можна знайти шлях, який подолало тіло. Для цього слід швидкість руху помножити на час:

l = vt,
де l — шлях; v — швидкість руху; t — час руху із зазначеною швидкістю.
Якщо відомі шлях і швидкість руху тіла, можна знайти час руху тіла. Для цього необхідно шлях поділити на швидкість руху:
![]()
Інколи для знаходження шляху, швидкості або часу руху тіла зручно скористатися «чарівним трикутником» (рис. 8.5).
Підбиваємо підсумки
Рівномірний рух — це механічний рух, у ході якого за будь-які рівні інтервали часу тіло долає однаковий шлях.
Рівномірний прямолінійний рух — це такий рух, у ході якого за будь-які рівні інтервали часу тіло здійснює однакові переміщення.
Швидкість рівномірного руху — це фізична величина, що дорівнює відношенню шляху, який подолало тіло, до інтервалу часу, протягом якого цей шлях був подоланий:
![]()
Одиницею швидкості руху в CI є метр за секунду (м/с). Спідометр — прилад для прямого вимірювання швидкості руху тіла.
Окрім значення швидкість руху має напрямок. Напрямок і значення швидкості руху тіла залежать від вибору системи відліку.

Рис. 8.5. Закривши пальцем символ шуканої величини (позначення шляху, часу або швидкості руху), отримаємо формулу для її визначення
Контрольні запитання
1. Який рух називають рівномірним? 2. Який рух називають рівномірним прямолінійним? Наведіть приклади. 3. Як знайти швидкість рівномірного руху тіла? 4. Назвіть одиниці швидкості руху. 5. Спідометри автомобілів проградуйовані в кілометрах за годину. Як швидкість, виміряну спідометром, подати в метрах за секунду? 6. Як визначити шлях, подоланий тілом, якщо відомі швидкість і час руху тіла? 7. Як визначити час руху тіла, якщо відомі шлях і швидкість його руху?
Вправа № 8
1. Стадо антилоп може досить довгий час зберігати швидкість руху 80 км/год. Який шлях подолає стадо за пів години?
2. Вважаючи рух плавців рівномірним (див. рисунок), визначте швидкість руху кожного з них.

3. Визначте, яка швидкість руху більша: 16 м/с чи 54 км/год.
4. Подайте в метрах за секунду: 18 км/год; 108 км/хв; 72 см/хв.
5. Подайте в кілометрах за годину: 2 м/с; 30 км/хв; 20 см/с.
6. В астрономії існує одиниця довжини світловий рік, яку застосовують для визначення міжзоряних відстаней. Один світловий рік дорівнює відстані, яку долає світло у вакуумі за 1 рік. Подайте цю відстань у кілометрах, вважаючи, що швидкість поширення світла у вакуумі дорівнює 300 000 км/с.
7. Скористайтесь додатковими джерелами інформації та підготуйте презентацію про швидкість руху в живій природі або про швидкість руху сучасних транспортних засобів. Зробіть коротке повідомлення.
Експериментальне завдання
«Автомобільні перегони». Влаштуйте з друзями перегони іграшкових автомобілів. Для цього до кожного іграшкового автомобіля прив’яжіть нитку. Другий кінець нитки закріпить на олівці. Рухайте автомобілі, обертаючи олівець (див. рисунок). Хто найшвидше пройде трасу? Якою є швидкість руху кожного автомобіля? Які прилади вам потрібні, щоб це визначити? Подайте результати ваших перегонів у вигляді таблиці змагань.
