Хімія. 8 клас. Савчин
Цей підручник можна завантажити у PDF форматі на сайті тут.
§ 2. Відносна молекулярна маса, її обчислення за хімічною формулою. Масова частка елемента в складній речовині
Повторивши матеріал параграфа, ви зможете:
- розрізняти поняття «відносна молекулярна маса», «відносна формульна маса», «масова частка елемента»;
- обчислювати відносну молекулярну масу речовини за її формулою; масову частку елемента в складній речовині.
Відносна молекулярна маса речовини. З курсу хімії 7 класу вам відомо, що атоми елементів мають певну масу. Оскільки молекули й інші структурні частинки речовин складаються з атомів, то їм властива кількісна характеристика. Однак маси атомів, як і маси інших структурних частинок речовин, малі, через це користуватися ними під час обчислень практично дуже важко. Тому вчені запропонували використовувати не абсолютні, а відносні атомні й молекулярні маси. Позначаються вони відповідно так: Аr і Mr.
Пригадайте, у чому різниця між цими поняттями.
Відносна молекулярна маса — це число, яке показує, у скільки разів маса певної молекули більша від 1/12 маси атома Карбону.
Обчислюють її за сумою відносних атомних мас елементів, з яких складається молекула. Розглянемо приклад.
Вправа 1. Обчисліть відносну молекулярну масу карбонатної кислоти.
Mr(H2CO3) = 2Ar(H) + Ar(C) + 3Ar(O) = 2 • 1 + 12 + 3 • 16 = = 2 + 12 + 48 = 62.
Для речовин немолекулярної будови (йонної, атомної) використовують термін «відносна формульна маса», що означає відношення маси формульної одиниці до 1/12 маси атома Карбону.
Позначають, як і відносну молекулярну масу, — Мr, обчислюють аналогічно. Розглянемо приклад.
Вправа 2. Обчисліть відносну формульну масу калій ортофосфату К3РО4.
Мr(К3РО4) = 3Аr(К) + Ar (Р) + 4Ar(O) = 3 • 39 + 31 + 4 • 16 = 212.
Обчислення масової частки елемента в складі речовини.
Масові частки елементів у складі речовини обчислюють за хімічною формулою.
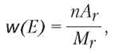
Як вам відомо, масова частка елемента — це відношення маси елемента до маси сполуки. Виражається формулою:
![]()
де w(E) — масова частка; n — число атомів елемента; Ar — відносна атомна маса; Mr — відносна молекулярна (формульна) маса. Якщо ж необхідно обчислити масову частку у відсотках — отриманий результат треба помножити на 100 %. Пригадати, як обчислюють масову частку елемента, вам допоможе задача.
Задача. Обчисліть масову частку Карбону в карбон(ІV) оксиді.
Спочатку робимо короткий запис умови задачі (ліворуч), у якому вказуємо, що відомо й що потрібно обчислити.

ПІДСУМОВУЄМО ПОВТОРЕНЕ
- Відносна молекулярна маса — це число, яке показує, у скільки разів маса певної молекули більша від 1/12 маси атома Карбону. Обчислюється за сумою відносних атомних мас елементів, що входять до складу сполуки. Застосовується під час обчислення відносних молекулярних мас речовин із молекулярною будовою.
- Відносна формульна маса — відношення маси формульної одиниці до 1/12 маси атома Карбону. Позначається й обчислюється, як відносна молекулярна маса. Застосовується для сполук із немолекулярною будовою (атомних і йонних).
- Масова частка елемента — це відношення маси елемента до маси сполуки, що виражається формулою:
![]()
ЗАВДАННЯ ДЛЯ САМОКОНТРОЛЮ
- 1. Обчисліть відносні молекулярні (формульні) маси сполук: а) N2, SO2, CuO, NaCl; б) SO3, B2O3, Mn2O7, HNO3; в) H3PO4, Na2CO3, Al(OH)3, A2(SO4)3.
- 2. Обчисліть масові частки елементів у сполуках: а) Літію — у літій оксиді; Кальцію — у кальцій хлориді СаСl2; Натрію — у натрій гідроксиді NaOH; б) Магнію — у магній оксиді; Фосфору — у фосфор(V) оксиді; Нітрогену — у нітратній кислоті HNO3; в) Сульфуру — у натрій сульфіді Na2S; Алюмінію — в алюміній оксиді; Фосфору — в ортофосфатній кислоті H3PO4.
- 3. Обчисліть масові частки елементів у сполуках: а) Фосфору й Гідрогену — у фосфіні РН3; Барію й Оксигену — у барій карбонаті ВаСО3; Кальцію й Оксигену — у кальцій гідроксиді Са(ОН)2; б) Купруму й Оксигену — у купрум(І) оксиді; Калію та Сульфуру — у калій сульфіті К2SО3; Калію й Гідрогену — у калій гідроксиді КОН.