Фізика. 9 клас. Бар’яхтар
Цей підручник можна завантажити у PDF форматі на сайті тут.
Лабораторна робота № 7. Вивчення закону збереження механічної енергії

Мета: переконатися на досліді, що повна механічна енергія замкненої системи тіл залишається незмінною, якщо в системі діють тільки сили тяжіння та сили пружності.
Обладнання: штатив із муфтою та лапкою, динамометр, набір тягарців, лінійка завдовжки 40-50 см, гумовий шнур завдовжки 15 см із покажчиком і петельками на кінцях, олівець, міцна нитка.
Теоретичні відомості
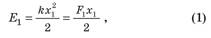
Для виконання роботи можна використати експериментальну установку, зображену на рис. 1. Попередньо позначивши на лінійці положення покажчика у випадку ненавантаженого шнура (позначка 0), до петлі шнура підвішують тягарець, який потім відтягують униз (стан 1), надаючи шнуру деякого видовження x1 (рис. 2). У стані 1 повна механічна енергія системи «шнур — тягарець — Земля» дорівнює потенціальній енергії розтягненого шнура:
![]()
де F1 = kx1 — модуль сили пружності шнура за його розтягнення на х1.

Рис. 1

Рис. 2
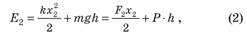
Далі тягарець відпускають і відзначають положення покажчика в той момент, коли тягарець досягне максимальної висоти (стан 2). У цьому стані повна механічна енергія системи дорівнює сумі потенціальної енергії піднятого на висоту h тягарця й потенціальної енергії розтягнутого шнура:
![]()
де F2 = kx2 — модуль сили пружності шнура за умови його розтягнення на х2; Р = mg — вага тягарця.
ВКАЗІВКИ ДО РОБОТИ
Підготовка до експерименту
1. Перед тим як розпочати вимірювання, згадайте:
- 1) вимоги безпеки під час виконання лабораторних робіт;
- 2) закон збереження повної механічної енергії.
2. Проаналізуйте формули (1) і (2) та поміркуйте, які вимірювання слід зробити, щоб визначити повну механічну енергію системи у стані 1 і стані 2. Складіть план проведення експерименту.
3. Зберіть установку, як показано на рис. 1.
4. Потягнувши за нижню петельку вертикально вниз, випряміть шнур, не натягуючи його. Позначте на лінійці олівцем положення покажчика у випадку ненавантаженого шнура й поставте позначку 0.
Експеримент
Суворо дотримуйтесь інструкції з безпеки (див. форзац підручника).
Результати вимірювань відразу заносьте до таблиці.
1. Визначте за допомогою динамометра вагу Р тягарця.
2. Підвісьте тягарець до петельки. Відтягнувши тягарець униз, позначте на лінійці положення покажчика, біля позначки поставте цифру 1.
3. Відпустіть тягарець. Помітивши положення покажчика в момент, коли тягарець сягнув найбільшої висоти, поставте у відповідному місці позначку 2. Зверніть увагу: якщо позначка 2 розташується вище, ніж позначка 0, дослід необхідно повторити, зменшивши розтягнення шнура та відповідно змінивши положення позначки 1.
4. Виміряйте сили пружності F1 і F2, які виникають у гумовому шнурі в разі його розтягнення на х1 і х2 відповідно. Для цього зніміть тягарець і, зачепивши петлю шнура гачком динамометра, розтягніть шнур спочатку до позначки 1, а потім до позначки 2.
6. Вимірявши відстані між відповідними позначками, визначте видовження х1 і х2 гумового шнура, а також максимальну висоту h підйому тягарця (див. рис. 2).
7. Повторіть дії, описані в пунктах 1-6, підвісивши до шнура два тягарці разом.
|
Номер досліду |
Вага тягарця Р, Н |
Видовження шнура |
Сила пружності |
Висота підйому h, м |
Повна механічна енергія |
|||
|
х1, м |
х2, м |
F1, H |
F2, H |
Е1, Дж |
E2, Дж |
|||
|
1 |
||||||||
|
2 |
||||||||
Опрацювання результатів експерименту
1. Для кожного досліду визначте:
- 1) повну механічну енергію системи у стані 1;
- 2) повну механічну енергію системи у стані 2.
2. Закінчіть заповнення таблиці.
Аналіз результатів експерименту
Проаналізуйте експеримент та його результати. Сформулюйте висновок, у якому: 1) порівняйте одержані вами значення повної механічної енергії системи у стані 1; у стані 2; 2) зазначте причини можливої розбіжності результатів; 3) укажіть фізичні величини, вимірювання яких, на ваш погляд, дало найбільшу похибку.
Завдання «із зірочкою»
![]()
Творче завдання
Візьміть невелику кульку на довгій міцній нитці. До нитки прив’яжіть гумовий шнур і, тримаючись за кульку, із силою потягніть шнур униз. Виміряйте видовження шнура. Відпустіть кульку. Виміряйте висоту, на яку піднялась кулька. Визначте жорсткість шнура та обчисліть цю висоту теоретично. Порівняйте результат обчислення з результатом експерименту.