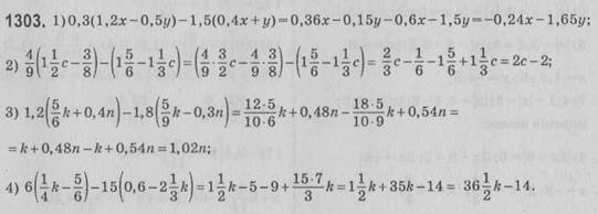
ГДЗ до підручника «Математика» А.Г. Мерзляка. 6 клас

1302. 1) b > 0; 2) b < 0; 3) b = 0; 4) a і b протилежні, або дорівнюють нулю.






1306. 1) 3 × 29 = 87;
2) 43 × 3 = 129;
3) 5 × 103 = 515;
4) 13 × 11 = 143;
5) 23 × 21 = 483;
6) 17 × 14 = 238.
1307. 1) Найменший спільний дільник будь-якої пари натуральних чисел дорівнює 1;
2) так;
3) ні.

25 см — найбільша довжина сторони плитки;
25 × 25 = 625 (см2) — площа однієї плитки;
271 875 : 625 = 435 (штук) — потрібно плиток.
Відповідь: 25 см, 435 штук.
1309. Знайдемо НСК чисел 18 і 22:
18 = 2 × 3 × 3; 12 = 2 × 2 × 3;
НСК = 2 × 2 × 3 × 3 = 36.
36 не задовольняє умові, оскільки оцінок було більше за 50, але менше від 80. Наступне число, яке ділиться націло на 18 і на 12 — це 72. Отже, Михайлик отримав всього 72 оцінки.
Відповідь: 72 оцінки.
1310. Знайдемо НСК(4; 5; 6) = 60. Отже, горішків було 60 + 1 = 61.
Відповідь: 61 горішок.