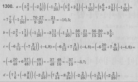
ГДЗ до підручника «Математика» А.Г. Мерзляка. 6 клас

1292. У листоноші Пєчкіна є 3 × 4 = 12 варіантів вибору конверта з маркою.
Відповідь: 12 варіантів.



1295. Не можуть. Кожна з указаних сум може приймати одне з 13 значень: -6; -5; -4; -3; -2; -1; 0; 1; 2; 3; 4; 5; 6. Усього ж сум 14. Тому, за принципом Діріхле, знайдуться дві рівні суми.
Завдання № 6 «Перевір себе»
1. А. 2. Б. 3. А. 4. Г. 5. Б. 6. В. 7. А. 8. Г. 9. Г. 10. Б. 11. Г. 12. В.
Вправи для повторення






