ГДЗ
ЗНО
ДПА
Підручники
А—Ж
Астрономія. Фізика
Біологія і екологія
Всесвітня історія
Географія
Громадянська освіта
Економіка
Етика
З—Р
Зарубіжна література
Захист Вітчизни
Історія України
Мистецтво
Основи здоров’я
Правознавство
Російська мова
С—Я
Технології
Українська література
Українська мова
Хімія
Я досліджую світ
Посібники
Атласи
Розробки уроків
Опорні конспекти
Книги по історії
Періодичні видання
Реферати
Статті
Особистості
Великі українці
Історичні постаті
Відеокурс
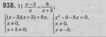
ГДЗ до підручника «Алгебра» О.С. Істера. 8 клас
Початковий рівень
Середній рівень
Попередня
Сторінка
Наступна
Сторінка
Зміст