Фізика. 8 клас. Головко
Цей підручник можна завантажити у PDF форматі на сайті тут.
Лабораторні роботи
Як оцінити точність вимірювання та обчислити похибку
Вимірювання фізичних величин завжди виконуються з певною точністю, тобто наближено або з похибкою. Похибка вимірювань характеризує ступінь наближення показів приладу до істинних значень вимірюваної величини. Є різні способи оцінювання похибок вимірювань. Оцінюючи результати вимірювання, ми будемо користуватися поняттями абсолютної та відносної похибки.
У процесі оцінювання та запису результатів вимірювання пропонуємо дотримуватися таких правил:
1. При прямих вимірюваннях фізичної величини приладом визначаємо абсолютну похибку. Складовою похибки вимірювання є абсолютна інструментальна похибка, зумовлена властивостями засобу вимірювання. Максимально можлива абсолютна похибка дорівнює ціні найменшої поділки шкали приладу, за умови, що значення фізичної величини не збігається з позначкою шкали або коливається; дорівнює половині ціни поділки, якщо покажчик збігається з позначкою шкали.
2. При розрахунках фізичних величин користуються правилами наближених обчислень, зокрема округлення: якщо перша відкинута цифра дорівнює 5 або більша за 5, то останню із залишених цифр збільшують на одиницю; якщо перша відкинута цифра менша ніж 5, то останню із залишених цифр не змінюють, наприклад
24,5 ≈ 25; 24,4 ≈ 24; 1455 ≈ 1500; 144 ≈ 140.
3. Для оцінки точності будь-яких вимірювань користуються поняттям відносної похибки є, яка дорівнює відношенню абсолютної похибки до наближеного значення вимірюваної величини:

де ΔA — абсолютна похибка вимірюваної величини;
Ac — середнє числове значення вимірюваної величини;
ε — відносна похибка.
4. Кінцевий результат вимірювання має бути записано у вигляді:
А = Ac ± ΔА;
5. При визначенні фізичних величин точність вимірювань і обчислень можна забезпечувати, порівнюючи виміряні й обчислені значення з табличними даними. Наприклад, табличне значення густини сталі (твердого тіла) ρт = 7,8 г/см3, а одержане експериментальне значення густини ρе = 7,6 г/см3. Тоді абсолютна похибка вимірювань може бути визначена як Δρ = ρт - ρе ; Δρ = |7,8 - 7,6| = 0,2 (г/см3). Оскільки кінцевий результат маємо записувати у вигляді ρ = ρе ± Δρ, то ρ = 7,6 ± 0,2 (г/см3)

Лабораторна робота № 1. Вивчення теплового балансу під час змішування води різної температури
Мета роботи: розвиток експериментальних умінь досліджувати теплові процеси, уміння визначати кількість теплоти, відданої гарячою водою й отриманої холодною під час теплообміну.
Прилади та обладнання: терези, різноваги, калориметр, мензурка, термометр, склянка.
Хід роботи
1. За допомогою терезів визначте масу внутрішньої посудини калориметра. Вставте його в зовнішню посудину.
2. Налийте в калориметр гарячу воду масою 100 г, а в склянку — стільки ж холодної. Зачекайте 1—2 хв і виміряйте температуру холодної та гарячої води.
3. Обережно влийте холодну воду в посудину з гарячою водою і виміряйте температуру суміші. Запишіть покази термометра в таблицю.

4. Вважаючи систему теплоізольованою, запишіть рівняння теплового балансу:
Q1 = Q2 + Q3, (1)
де Q1 — кількість теплоти, отримана холодною водою під час її нагрівання до температури теплової рівноваги;
Q2 — кількість теплоти, яку віддала гаряча вода, що була в калориметрі, під час охолодження до температури теплової рівноваги;
Q3 — кількість теплоти, яку віддав стакан калориметра під час охолодження його до температури теплової рівноваги.
5. Розрахуйте кількість теплоти, отриману холодною водою при її нагріванні до температури теплової рівноваги: Q1 = cm2(t - t2), а також кількість теплоти, віддану гарячою водою і калориметром під час їх охолодження до температури теплової рівноваги (температури суміші):
Q2 = cm1(t1 -t);
Q3 = cama(t1 - t).
6. Підставте вирази Q1, Q2, Q3 у формулу (1) та перевірте виконання рівняння теплового балансу. Результати обчислень запишіть до таблиці.
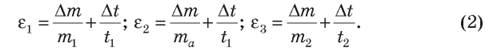
7. Розрахуйте похибку вимірювань:
![]()
8. Визначте абсолютну похибку вимірювань:
ΔQ1 = ε1Q1; ΔQ2 = ε2Q2; ΔQ3 = ε3Q3 (3)
9. Запишіть результати вимірювань:
Qвід = (Q1 + Q2 ) ± (ΔQl + ΔQ2); Qотр = Q3 ± ΔQ3.
10. Порівняйте кількість теплоти, відданої гарячою водою і калориметром, з кількістю теплоти, отриманої холодною водою, та зробіть висновки.