Фізика. 8 клас. Головко
Цей підручник можна завантажити у PDF форматі на сайті тут.
§ 19. Закон Кулона
Із попередніх параграфів вам вже відомо, що електрично заряджені тіла взаємодіють одне з одним. Цілком логічно постає запитання: «Від чого ж залежить сила взаємодії електрично заряджених тіл?». Вперше закон взаємодії нерухомих електричних зарядів установив англійський фізик Генрі Кавендіш, однак свої дослідження він не оприлюднив і вони стали відомі науковій громадськості вже після того, як у 1785 р. французький фізик Шарль Огюстен Кулон незалежно від Кавендіша визначив закон взаємодії електричних зарядів.
У своїх дослідах Кулон вимірював сили притягання й відштовхування заряджених кульок за допомогою сконструйованого ним приладу — крутильних терезів (рис. 19.1), які мали надзвичайно високу чутливість. Наприклад, коромисло терезів поверталось на 1 ° під дією сили лише 10-9 Н. Вимірюючи за шкалою кут повороту рухомого заряду, можна визначати силу взаємодії між зарядами.
Ідея вимірювань ґрунтувалась на блискучій здогадці Кулона про те, що під час контакту двох однакових кульок, одна з яких заряджена, а друга електрично нейтральна, заряд розділиться між кульками порівну. Так було знайдено спосіб змінювати заряд кульки у два, три і більше разів.

Шарль Оґюстен Кулон (1736—1806)
Французький фізик, військовий інженер, винахідник основного закону електростатики — закону Кулона.

Рис. 19.1. Крутильні терези Кулона
Кулон вимірював у дослідах взаємодію між кульками, розміри яких набагато менші за відстань між ними. Такі заряджені тіла називають точковими зарядами.
Точковим зарядом називають заряджене тіло, розмірами якого в умовах певної задачі можна знехтувати.
У результаті досліджень Кулон встановив закон, який носить його ім’я:
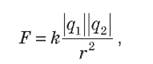
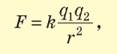
Сила взаємодії двох нерухомих точкових зарядів прямо пропорційна чисельному значенню добутку цих зарядів, обернено пропорційна квадрату відстані між ними та напрямлена вздовж прямої лінії, що з’єднує ці заряди:
![]()
де q1, q2 — модулі зарядів; r — відстань між точковими зарядами; k — коефіцієнт пропорційності, значення якого залежить від обраної системи одиниць.

Фізичний зміст цього коефіцієнта такий: він показує, з якою силою взаємодіють два точкові заряди по 1 Кл, коли перебувають на відстані 1 м. Напрям сил кулонівської взаємодії між точковими зарядами зображено на рис. 19.2.

Рис. 19.2. Напрям сили Кулона під час взаємодії одно- та різнойменних зарядів
Взаємодію нерухомих електричних зарядів називають електростатичною, або кулонівською, взаємодією.
Розглянемо приклади розв’язування задач на використання закону Кулона.
Задача 1. Дві однаково заряджених порошинки перебувають на відстані 12 мм одна від іншої та взаємодіють із силою 1 мН. Визначте заряд кожної з порошинок.


Обчислимо шукане значення електричного заряду:

Відповідь: q = 4 нКл.
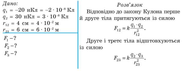
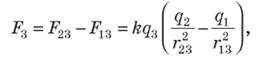
Задача 2. Три точкові заряди розташовані вздовж прямої на відстанях r12 = 4 см та r23 = 6 см один від одного.

Обчисліть результуючі кулонівських сил, що діють на кожен із цих зарядів, якщо значення зарядів q1 = -20 нКл, q2 = 30 нКл.


Запишемо рівнодійну сил, які діють на кожен із точкових зарядів.
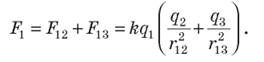
Сили, прикладені до першого заряду, напрямлені в один бік, тому модуль їх рівнодійної сили дорівнює сумі модулів цих сил:

Підставивши відповідні значення, одержимо, що
F1 ≈ 4,3 мН.
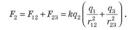
Сили, прикладені до другого заряду, також напрямлені в один бік, тому модуль їх рівнодійної сили дорівнює сумі модулів цих сил:

Обчисливши, одержимо, що F2 ≈ 7,1 мН.
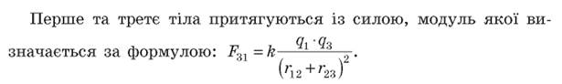
Сили, прикладені до третього заряду, напрямлені в протилежні боки, тому модуль їх рівнодійної сили дорівнює різниці модулів цих сил і спрямований у бік більшої сили:
![]()
F3 ≈ 2,8 мН.
Відповідь: F1 = 4,3 мН, F2 = 7,1 мН, F3 = 2,8 мН.
Головне в цьому параграфі
Під час контакту двох однакових тіл, одне з яких заряджене, а друге електрично нейтральне, заряд розподілиться між тілами порівну.
Точковим зарядом називають заряджене тіло, розмірами якого в умовах певної задачі можна знехтувати.
Закон Кулона: сила взаємодії двох нерухомих точкових зарядів прямо пропорційна чисельному значенню добутку цих зарядів, обернено пропорційна квадрату відстані між ними і напрямлена вздовж прямої лінії, що з’єднує ці заряди.

де |q1|, |q2| — модулі зарядів; r — відстань між точковими зарядами; k — коефіцієнт пропорційності.

Запитання для самоперевірки
- 1. Які заряди називають точковими?
- 2. Сформулюйте закон Кулона.
- 3. Поясніть фізичний зміст величин, що входять до формули, яка виражає закон Кулона.
- 4. Що називають кулонівською взаємодією?
Домашній експеримент
Візьміть дві надуті повітряні кульки. Одну з кульок наелектризуйте, потерши її об папір, другу — об вовняну тканину чи хутро. Підвісьте кульки на нитках на певній відстані одна від одної. Простежте, як залежить сила притягання між кульками від відстані між ними та від величини електричного заряду.
Вправа до § 19
- 1(c). Поясніть, як зміниться сила взаємодії двох точкових зарядів, якщо відстань між ними збільшити у 3 рази.
- 2(c). Поясніть, як зміниться сила взаємодії між двома зарядженими точковими тілами, якщо заряд кожного з них збільшити у 2 рази.
- 3(д). Дві дощові хмари мають електричні заряди 12 і 20 Кл. Хмари перебувають на відстані 3 км одна від одної. Обчисліть силу кулонівської взаємодії між хмарами, вважаючи їх точковими зарядами, оскільки розміри хмар значно менші за відстані між ними.
- 4(д). Обчисліть відстань, між двома точковими зарядами 10 нКл і 3 нКл, якщо сила їх взаємодії становить 24 • 10-5 Н.
- 5(д). Два однакових точкових позитивних заряди перебувають на відстані 10 мм один від одного. Заряди взаємодіють із силою 7,2 • 10-4 Н. Визначте величини цих зарядів.
- 6(в). Дві однакові маленькі заряджені кульки перебувають на відстані 40 см одна від одної. Заряд однієї з них 8 нКл, а другої —
- 2 нКл. Кульки привели в дотик і повернули в початкове положення. Знайдіть силу взаємодії кульок до та після дотику.
- 7(в). Точкові заряди 20 нКл і 40 нКл закріплені на відстані 10 см один від одного у вакуумі. Посередині між ними розміщують точковий заряд — 5 нКл. Обчисліть модуль і напрям результуючої сили, яка діє на цей заряд.