Фізика. Профільний рівень. 10 клас. Гельфгат
Цей підручник можна завантажити у PDF форматі на сайті тут.
Розділ 3. Молекулярна фізика та термодинаміка
§ 20. Основні положення молекулярно-кінетичної теорії будови речовини
1. З чого складається речовина
З курсу фізики 8 класу ви знаєте, на яких основних положеннях ґрунтуються сучасні уявлення про будову речовини. Традиційно називають три положення, дуже простих за змістом. Нагадаємо ці положення та експериментальні дані, що їх підтверджують.
• Положення 1. Усі речовини складаються з окремих частинок, тобто мають дискретну структуру.
Це означає, що речовину не можна ділити на все менші та менші «порції» безкінечно. Частинки, з яких складається речовина, називають її структурними одиницями. Ще в Стародавній Греції народилося уявлення про атом — найменшу неподільну частинку речовини. У сучасній науці атомом називають найменшу частинку певного хімічного елемента. Ви знаєте, що «сучасний» атом насправді не є неподільним, він складається з атомного ядра та електронів.
З окремих атомів складаються, наприклад, гелій, пара ртуті або алмаз. Структурними одиницями води, цукру або вуглекислого газу є молекули, що складаються з певної кількості атомів (молекули мають основні хімічні властивості відповідних речовин, а окремі атоми можуть і не мати таких властивостей). У кухонної солі структурними одиницями є позитивні та негативні йони, а в плазмі — головним чином позитивні йони та електрони (рис. 20.1).

Рис. 20.1. Структурні одиниці різних речовин: а — атоми гелію; б — молекули води; в — йони в кристалі солі; г — йони та електрони в плазмі (гелій уважаємо газоподібним, а воду — рідкою)


Рис. 20.2. Якщо на поверхню спокійної води налити трохи олії (або бензину), то вона розпливається по поверхні. Згодом площа цієї плівки перестає збільшуватися, а її товщина — зменшуватися. Найменша товщина плівки становить приблизно розмір однієї молекули
Ще одним непрямим підтвердженням існування атомів є те, що в хімічних реакціях між двома певними речовинами (наприклад, між вуглецем і киснем) відношення мас реагентів може змінюватися за простими закономірностями залежно від того, яким є кінцевий продукт реакції. Наприклад, на кожний грам вуглецю «витрачається» вдвічі більше кисню під час утворення вуглекислого газу, ніж під час утворення чадного газу. Це легко пояснити, порівнявши склад молекул утворених речовин (відповідно СО2 і СО).
Нині фізики створили цілу низку приладів, що дозволяють побачити дискретну структуру речовини (рис. 20.3). Згодом ви дізнаєтеся про принципи їх дії. Отже, справедливість першого з основних положень молекулярно-кінетичної теорії (МКТ) не викликає жодних сумнівів.

Рис. 20.3. Отримані за допомогою різних приладів зображення структури речовини: а — зображення вольфрамового вістря в йонному проекторі; б — зображення поверхні кристала ніобію, отримане за допомогою електронного мікроскопа і збільшене в 6 млн разів; в — зображення поверхні кристала германію, отримане за допомогою скануючого тунельного мікроскопа
2. Рух і взаємодія частинок
Наступні два основних положення МКТ містять твердження щодо руху та взаємодії молекул*.
* Надалі ми задля стислості часто пишемо «молекули», а не «структурні одиниці речовини».
• Положення 2. Молекули перебувають у безупинному хаотичному русі.
Одним із свідчень такого руху є явище дифузії, тобто процес переносу речовини, унаслідок якого відбувається взаємне проникнення речовин і вирівнювання їх концентрацій. Так поширюватиметься запах навіть у нерухомому повітрі внаслідок теплового руху молекул ароматичних речовин (хоч зазвичай набагато швидше переносять запахи конвекційні потоки повітря). Так само внаслідок хаотичного руху молекул цукру вони обов’язково розподіляються практично рівномірно в посудині з водою, а притиснуті один до одного бруски свинцю та золота через кілька років «зростаються» (рис. 20.4).

Рис. 20.4. Дифузія свинцю та золота поступово спричиняє «зростання» двох брусків із різних металів, тобто їх взаємне проникнення та утворення на межі шару «сплаву»
Хаотичний рух молекул спричиняє не тільки перенесення речовини (дифузію), а й перенесення імпульсу під час руху рідини або газу (в’язкість) та перенесення тепла (теплопровідність).

1827 року шотландський ботанік Р. Броун спостерігав під мікроскопом зважені у воді частинки рослинного походження (спори плауна). Він виявив, що ці частинки безупинно та хаотично рухаються. Подальші дослідження показали, що такий рух (броунівський рух маленьких частинок у рідині або газі) властивий усім частинкам (наприклад, порошинкам) аналогічних розмірів. Інтенсивність руху частинок будь-якої природи залежить від їх маси та температури середовища: швидкість руху тим більша, чим легші частинки та чим вища температура.
Причиною броунівського руху є хаотичний рух молекул речовини (рис. 20.5). Молекули завдають ударів по поверхні броунівської частинки. Ці удари й спричиняють тиск рідини або газу на поверхню. При цьому середні значення сил, що штовхають частинку праворуч і ліворуч, є однаковими. Але за маленьких розмірів частинки випадкові відхилення цих сил від середніх значень виявляються суттєвими. Удари молекул середовища почергово штовхають броунівську частинку праворуч, униз, угору, ліворуч... На рис. 20.6 показано умовну траєкторію її руху.
Цікавим різновидом дифузії є процес осмосу. Докладніше про цей процес див. за посиланням.

Рис. 20.5. Механізм виникнення броунівського руху (для простоти не показано, що броунівська частинка сама складається з окремих молекул). Молекули середовища зображено як сині кружечки

Рис. 20.6. Точки (вершини ламаної лінії) позначають положення броунівської частинки через рівні проміжки часу (наприклад, через 1 с). Ланки ламаної лінії, що сполучають сусідні вершини, насправді не є траєкторіями руху броунівської частинки між двома сусідніми вершинами ламаної
Теорію броунівського руху створив А. Ейнштейн 1905 року, майже через 80 років після відкриття цього явища. Виявляється, характери руху броунівської частинки та молекули середовища цілком аналогічні. Проте через більші розміри та масу броунівська частинка рухається набагато повільніше, а спостерігати за її рухом набагато легше. Можна сказати, що броунівська частинка поводиться як гігантська молекула.
• Положення 3. Між молекулами існують сили взаємодії (притягання та відштовхування).
Власне кажучи, це твердження не викликає навіть сумнівів. Адже за відсутності взаємодії між молекулами, які безперервно та хаотично рухаються, не могли б існувати рідкі та тверді тіла. Молекули просто розліталися б! Не існували б і ми з вами, нікому було б писати та читати ці рядки...
Взаємодія між молекулами має електромагнітну природу (хоч атоми та молекули електрично нейтральні, вони складаються із заряджених частинок). Ця взаємодія спричиняє як притягання, так і відштовхування молекул. Завжди існує така характерна відстань r0 між центрами молекул, на якій сили притягання та відштовхування взаємно компенсуються. Саме на такій відстані молекули можуть перебувати в рівновазі. Відстань r0 часто називають розміром молекули.
Навколо фізики
Наведену на рис. 20.6 лінію не слід розглядати як «справжню» траєкторію руху броунівської частинки. Річ у тім, що від однієї вершини цієї ламаної лінії до наступної частинка рухається не прямолінійно, а по складній траєкторії такого ж типу, як зображено на рисунку. Тобто кожну ланку насправді треба замінити всією лінією, зменшеною у відповідну кількість разів. Отже, насправді траєкторію можна вважати «самоподібною», тобто геометрично подібною своїм частинам. Виявляється, що такі цікаві геометричні об’єкти (їх називають фракталами) нерідко зустрічаються в живій і неживій природі. Прикладами є форми сніжинок або коралів. Систематичне вивчення фракталів у математиці почалось у XX столітті.
На менших відстанях (r < r0) переважає сила відштовхування, яка дуже швидко збільшується, коли молекули зближаються. Якщо r > r0, переважає сила притягання. Вона спочатку збільшується зі збільшенням відстані r, досить швидко сягає максимального значення і після цього зменшується (рис. 20.7). Зазвичай міжмолекулярні сили помітні тільки на відстанях, порівнянних із розмірами молекул.

Рис. 20.7. Приблизний графік залежності повної сили міжмолекулярної взаємодії від відстані r (додатні значення Fr відповідають силам відштовхування, а від’ємні — силам притягання)
3. Маса та розміри молекул
Як ми вже бачили вище, до складу олії входять молекули з орієнтовними розмірами 2,5 нм. Виявляється, що атоми та молекули з невеликої кількості атомів мають дещо менші розміри (приблизно 0,3 нм, або 3 • 10-10 м). Отже, об’єм такої молекули орієнтовно
v0 = (3 • 10-10 м)3 ≈ 3 • 10-29 м3.
Оскільки густина води ρ = 1000 кг/м3, на такий об’єм води припадає маса m0 = ρV0 ≈ 3 • 10-26 кг. Численні експерименти підтвердили, що приблизне значення маси молекули води є саме таким.
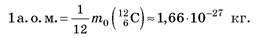
Через такі малі значення мас молекул їх не дуже зручно виражати в одиницях СІ. Маси молекул зазвичай виражають у позасистемних одиницях — атомних одиницях маси (а. о. м). Ця одиниця дорівнює 1/12 маси атома Карбону 126С:
![]()
1 а. о. м приблизно дорівнює масі нуклона (протона або нейтрона).
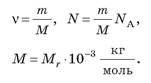
Відносна молекулярна (атомна) маса Мr молекули (атома) масою m0 визначається співвідношенням

Ця величина є безрозмірною (ви вже знаєте про неї з курсу хімії).
![]()

Доведіть самостійно корисні формули:

Кількість частинок, що припадають на 1 моль, називають сталою Авогадро:



4. Будова газів, рідин і твердих тіл
Нагадаємо, що в земних умовах саме ці три стани речовини є найбільш поширеними (у масштабах Всесвіту на перший план виходить так званий «четвертий стан речовини» — плазма). Основну інформацію щодо цих станів речовини (фізики називають їх різними фазовими станами) зведено в табл. 20.1.
Зазначимо, що саме маленькі «стрибки» молекул на сусідні місця визначають плинність рідини, тобто її здатність легко змінювати форму.
Окремо нагадаємо про аморфні тіла (це, наприклад, скло або смола). Їх зазвичай відносять до твердих. Однак, на відміну від кристалів, аморфні тіла можуть виявляти плинність (за умови тривалої дії зовнішніх сил), вони не мають певної температури плавлення. Причина полягає в тому, що аморфні тіла не мають кристалічних ґраток, їм властивий лише ближній порядок розташування молекул. За структурою аморфні тіла слід віднести до рідин, але дуже в’язких рідин (саме велика в’язкість заважає молекулам «вишикуватися» при швидкому охолодженні та утворити кристалічні ґратки). Зазвичай аморфні тіла змінюють свою форму через плинність дуже повільно. Отже, за зовнішніми ознаками їх і вважають твердими тілами.
Аморфний стан речовини не є стійким. З часом аморфна речовина перетворюється на кристал. Проте в багатьох випадках для цього потрібні сотні тисяч років або сильне нагрівання. Відносно швидку кристалізацію аморфних тіл можна спостерігати на прикладі цукру — в льодяниках він аморфний, але з часом можна спостерігати утворення кристалів цукру.
Таблиця 20.1
Фазові стани речовини

Фізика і техніка в Україні
Перші фотографічні зображення атомів

2009 року вчені Національного наукового центру «Харківський фізико-технічний інститут» уперше в історії світової науки сфотографували внутрішню структуру атома, тобто отримали зображення «електронних хмар» навколо атомного ядра. Це зображення за якістю перевершує всі, що були отримані раніше іншими методами. Ми наводимо фотографії, що демонструють два різних стани атома Карбону. Щоб отримати такі фотографії, потрібно було «побудувати» ланцюжки з кількох десятків атомів у вакуумній камері. Нагадаємо, що саме в цьому інституті вперше в СРСР було розщеплено атомне ядро.
5. Вчимося розв'язувати задачі
Задача. Поверхню виробу, що має площу S = 5 см2, вкрили шаром золота завтовшки h = 1 мкм. Визначте кількість йонів Ауруму в цьому покритті. Густина золота ρ = 19 300 кг/м3.


Підбиваємо підсумки
Згідно з основними положеннями МКТ речовина складається з певних структурних одиниць (частинок), які безперервно та хаотично рухаються і взаємодіють одна з одною. Задовго до появи сучасних засобів вивчення структури речовини на користь цих тверджень свідчили спостереження таких явищ, як дифузія та броунівський рух.
МКТ дозволяє пояснити властивості твердих, рідких і газоподібних тіл на основі уявлень про характер розташування та руху окремих частинок речовини.

Контрольні запитання
1. Назвіть основні положення МКТ. 2. Про що свідчить явище дифузії? 3. Поясніть причини виникнення броунівського руху. 4. Чим відрізняється рух молекул у газах і твердих тілах? 5. Чим відрізняються за будовою кристалічні та аморфні тіла? 6. Як виразити кількість молекул у тілі через кількість речовини в ньому?
Вправа № 20
1. Чому дифузія в газах відбувається набагато швидше, ніж у рідинах і твердих тілах?
2. Чому не «зростаються» два уламки дерев’яної лінійки, якщо їх прикласти та притиснути один до одного?
3. Поясніть, чому ретельно відполіровані поверхні «липнуть» одна до одної.
4. Визначте молярні маси чадного газу (CO) та метану (СН4).
5. Визначте кількість речовини у воді об’ємом 1,5 л.
6. Гас масою 0,4 г утворює на поверхні води плівку площею до 50 м1 2. Який висновок можна зробити з цього факту щодо розмірів молекул, що входять до складу гасу? Густина гасу становить 800 кг/м3.
7. Два молі водню реагують з одним молем кисню. Визначте кількість речовини, утвореної внаслідок реакції.
8. До басейну площею 1500 м2 та завглибшки 3 м потрапила крупинка солі калій йодиду КІ масою 5 мг. Через кілька днів з басейну взяли пробу води об’ємом 50 см3. Скільки йонів Калію містить ця проба? Уважайте, що спочатку вода не містила калію.
Експериментальні завдання
1. Оцініть експериментально найменшу товщину шару бензину на воді.
2. Знайдіть в Інтернеті зображення будови кристалів, отримані за допомогою сучасних приладів (наприклад, скануючого тунельного мікроскопа). Скориставшись даними про збільшення отриманих зображень, оцініть розміри атомів (йонів), з яких складаються кристали.