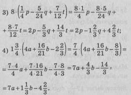
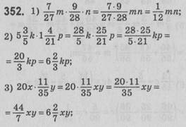
ГДЗ до підручника «Математика» А.Г. Мерзляка. 6 клас


buymeacoffee